作者简介:王晓晗,1992年生,女,在读硕士研究生。
由丙烷直接催化脱氢制取丙烯已经成为增产丙烯的重要手段之一。以水热法制备Al2O3载体,采用等体积浸渍法制备不同PtSn负载量的PtSn/Al2O3催化剂。通过XRD、N2-吸附、拉曼光谱和H2-TPR等对其进行表征,并考察不同PtSn负载量对催化剂催化丙烷脱氢性能的影响。结果表明,在制备的催化剂中,Pt1.5Sn3/Al2O3具有最高的催化丙烷脱氢活性和稳定性,丙烷初始转化率高达55.6%,丙烯选择性98.1%。反应 330 min后,丙烷转化率仅降约10%,选择性保持不变。
Recently,direct catalytic dehydrogenation of propane topropylene has already become oneof the significant ways for propyleneproduction.In this work,Al2O3support was synthesized by hydrothermal method,and PtSn/Al2O3 catalysts with different PtSn loading amounts were prepared by incipient-wetness impregnation method.Physical and chemical properties of as-prepared catalysts were characterized bymeans of XRD、N2-adsorption、Raman spectrum and H2-TPR and so on. Influence of PtSn loading amounts of PtSn/Al2O3 catalysts onpropane dehydrogenation was also investigated.Results showed that Pt1.5Sn3/Al2O3 catalyst had the highest activity and stability for dehydrogenation of propane among the as-prepared catalysts.Initial conversion of propane was 55.6% and selectivity of propylene was 98.1%. After 330 minof reaction,conversion of propane decreased only about 10% and selectivity of propylene remained more than 98%.
丙烯是重要的化工原料, 是化学工业最重要的化合物之一, 广泛用于生产聚丙烯、丙烯醛、丙烯酸、甘油、异丙醇、聚丙烯腈和丁辛醇等石化产品。随着经济的快速增长, 未来对于丙烯的需求将逐渐增加[1, 2, 3, 4]。目前, 丙烯主要来源于蒸汽裂解联产和催化裂化副产物[5]。由于生产过程能耗高, 烯烃产率低, 且石油资源短缺问题日益严重, 由蒸汽裂解联产和催化裂化副产物获得的丙烯远不能满足需求[6]。丙烷是油田轻烃、天然气、炼厂气和页岩气的主要成分之一, 在我国有相当丰富的储量, 但是利用率不高, 将其催化加工成化工中间体或化工原料, 有着极大的经济价值和社会意义[7]。由丙烷直接催化脱氢制取丙烯, 成为增产丙烯的重要手段之一[8]。
从化学的观点看, 丙烷催化脱氢反应过程是一个一步反应过程, 即丙烷转化为丙烯同时产生氢气。然而, 该反应受热力学平衡限制, 需要在高温、低压条件下进行。通常在(550~750) ℃和100 kPa时, C2~C4烷烃转化率≥ 50%[9]。另外, 由于烷烃和烯烃的C— H键比C— C键更活泼, 需要选择性的劈裂C— H键, 从而获得高的丙烯选择性。同时由于烯烃比烷烃更活泼, 因此, 在反应过程中容易发生副反应, 导致二级产物增多[10, 11, 12]。从热力学角度分析, 如要发生丙烷脱氢反应并且减少副反应的发生, 须升高温度并且降低压力。但是当温度过高时, 会发生裂解、深度脱氢等副反应, 副产物的生成导致丙烯的选择性降低[13]。因此, 根据丙烷无氧脱氢反应的特点, 关键是在于开发活性、选择性及稳定性高的催化剂[14, 15]。
Pt系催化剂由于高活性、高选择性、热稳定性好、低污染、低磨损率且可在苛刻条件下操作的优点得到广泛研究[16, 17, 18]。在丙烷脱氢Pt催化剂体系中, 常用的载体为γ -Al2O3, γ -Al2O3是多孔性的固体酸, 热稳定性优良, 具有大的比表面积[19, 20]。但由于副反应和积炭连续不断的发生, 传统的PtSn/Al2O3催化剂寿命较短[21, 22]。Mironenko R M等[23]采用经过150 ℃、3 h水热处理的载体制备Pt/Al2O3催化剂, 发现其丙烷脱氢反应的丙烯选择性比未经水热处理载体制备的催化剂提高了10%。Shi L等[24]发现, 包含大量五配位的Al3+的γ -Al2O3载体可以很好地分散和稳定PtSn集群, 这种催化剂在丙烷脱氢反应中表现出良好的催化活性。本文以水热法制备Al2O3载体, 通过等体积浸渍法制备不同PtSn负载量的PtSn/Al2O3催化剂, 并对制备的催化剂进行XRD、BET、H2-TPR和拉曼光谱等表征, 探讨不同PtSn负载量对PtSn/Al2O3催化剂丙烷脱氢反应性能的影响。
Al2O3载体制备:将6.44 g的Al(NO3)3· 9H2O溶于100 mL去离子水中, 搅拌溶解后, 加入9.28 g的CO(NH2)2, 磁力搅拌25 min, 转入180 mL聚四氟乙烯内衬的不锈钢高压反应釜中, 100 ℃晶化48 h, 空气冷却至室温, 过滤、洗涤后80 ℃干燥12 h, 600 ℃空气中焙烧6 h(升温速率为2 ℃· min-1)即得到Al2O3载体。
PtSn/Al2O3催化剂制备:采用等体积浸渍法, 以H2PtCl6· 6H2O和SnCl2· 2H2O为前驱体, 取化学计量的Pt、Sn前驱体溶于无水乙醇配成均一的溶液, 然后将Al2O3载体加至该溶液中, 超声30 min后置于40 ℃烘箱中干燥12 h, 然后在500 ℃空气中焙烧4 h(升温速率2 ℃· min-1), 获得不同PtSn负载量的PtSn/Al2O3催化剂。其中Pt、Sn负载质量分数分别为0.25%、0.5%, 0.5%、1%, 0.75%、1.5%, 1%、2%, 1.5%、3%, 2%、4%。根据负载量不同将催化剂分别标记为Pt0.25Sn0.5/Al2O3、Pt0.5Sn1/Al2O3、Pt0.75Sn1.5/Al2O3、Pt1Sn2/Al2O3、Pt1.5Sn3/Al2O3、Pt2Sn4/Al2O3。
采用日本理学公司UltimaⅣ 型X射线衍射仪, CuKα , 工作电压40 kV, 工作电流40 mA, 扫描速率3° · min-1。
采用日本Horiba公司LabRAM HR Evolution拉曼光谱仪, 激发光源波长532 nm。
采用美国麦克仪器公司3020型吸附仪, 样品先在300 ℃脱气预处理5 h, 以N2为吸附质进行静态吸附分析测试, BET法计算比表面积, BJH法分析孔道结构数据。
H2-TPR表征采用美国麦克仪器公司Auto Chem 2920型化学吸附仪, 将0.1 g样品在300 ℃以流量为30 mL· min-1的Ar气预处理1 h, 降至室温后吹扫30 min, 切换为H2-Ar混和气, 程序升温(10 ℃· min-1)至850 ℃, TCD检测器检测。
丙烷催化脱氢性能评价在微型催化反应装置进行, 催化剂用量0.2 g, 并以安捷伦气相色谱仪(7890)对反应后的产物进行在线定性、定量分析。反应气丙烷和氮气混合后进入反应器催化剂床层, 温度590 ℃, 丙烷与氮气体积比为1: 2, 丙烷空速2.35 h-1。
图1为不同PtSn负载量的PtSn/Al2O3催化剂的XRD图。由图1可以看出, 不同PtSn负载量的催化剂在37.6° 、39.4° 、45.8° 、67° 均出现归属于Al2O3的特征衍射峰[25]。当PtSn负载量较低时(Pt≤ 0.75), XRD图未发生明显变化, 未出现归属于Pt及Sn物种的特征衍射峰, 表明此时PtSn物种以高分散形式存在, 可能与PtSn负载量较低有关。随着PtSn负载量增加(Pt≥ 1), XRD图发生明显变化, 在39.8° 的衍射峰强度增加, 同时在81.5° 出现明显的衍射峰, 分别归属于Pt(111)及(311)晶面[26], 表明在较高PtSn负载量的催化剂上形成了Pt纳米颗粒, 且随着PtSn负载量增加, Pt颗粒尺寸变大, 发生团聚现象, 分散性变差。在不同PtSn负载量催化剂中并没有出现归属于Sn或者SnOx的特征峰, 可能是由于形成高分散或无定型Sn物种所致。
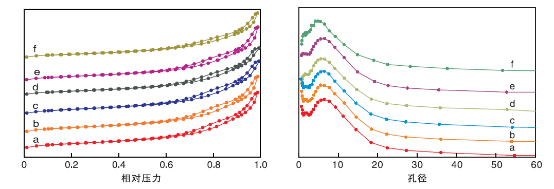
图2为PtSn/Al2O3催化剂的N2吸附-脱附等温线及孔径分布。对比图2可以看出, 不同PtSn负载量催化剂的吸附等温线呈典型的Ⅳ 型等温线和H3型滞后环, 在相对压力0.6~1.0出现毛细凝聚现象, 表明载体具有介孔结构。改变PtSn负载量, N2吸附曲线大致相同, 表明金属负载量不会影响Al2O3载体的孔道结构。
不同PtSn负载量PtSn/Al2O3催化剂的织构性能如表1所示。从表1可以看出, 随着金属负载量增高, 比表面积降低, 可能是随着PtSn负载量增加, 催化剂表面被PtSn金属颗粒覆盖; 孔容也随之降低, 可能是由于负载的PtSn金属进入催化剂孔道所致。对比图2还可以看出, PtSn负载量从Pt0.25Sn0.5到Pt2Sn4的PtSn/Al2O3催化剂孔径相差不大, 表明负载后载体的孔结构未发生明显变化。
| 表1 PtSn/Al2O3催化剂的织构性能 Table 1 Textural property of PtSn/Al2O3 catalysts with different PtSn loadings |
图3为不同PtSn负载量PtSn/Al2O3催化剂的H2-TPR曲线。由图3 可以看出, PtSn/Al2O3催化剂对应3个还原峰, 其中, Peak Ⅰ (340 ℃)归属于PtOx的还原峰[27], Peak Ⅱ [(400~500) ℃]可归属为Sn4+→ Sn2+的还原峰, Peak Ⅲ [(600~700) ℃]归属为Sn2+→ Sn0的还原峰[28]。随着PtSn负载量增加, Peak Ⅰ 及PeakⅡ 还原峰面积增大; 同时, 随着PtSn负载量从Pt0.25Sn0.5增加到Pt1.5Sn3, Peak Ⅱ 与Peak Ⅲ 对应的还原峰逐渐向高温移动, 表明Sn物种更难被还原, 但是当PtSn负载量增加到Pt2Sn4时, Peak Ⅱ 与Peak Ⅲ 对应的还原峰又向低温移动, 可能是PtSn负载量不同导致氧化态Sn物种与载体相互作用不同。以氧化态形式存在的Sn物种可以锚定Pt金属, 提高Pt金属分散度和催化剂脱氢活性[29]。Pt1.5Sn3/Al2O3催化剂Sn物种与载体之间的相互作用更强, Sn物种不易被还原和聚集, 有更多的氧化态Sn存在, 有利于提高PtSn/Al2O3催化剂Pt金属分散度和丙烷脱氢活性。
图4为不同PtSn负载量PtSn/Al2O3催化剂的丙烷脱氢性能。
| 图4 不同PtSn负载量PtSn/Al2O3催化剂的丙烷脱氢性能Figure 4 Catalytic performances of PtSn/Al2O3 catalysts with different PtSn loadings for dehydrogenation of propane |
由图4可以看出, Pt0.25Sn0.5/Al2O3催化剂上丙烷初始转化率最低, 随着PtSn负载量增加, 丙烷初始转化率呈先上升而后趋于稳定的趋势。但反应进行330 min后, 不同PtSn负载量PtSn/Al2O3催化剂上丙烷转化率相差较大。比较不同PtSn负载量PtSn/Al2O3催化剂活性发现, Pt负载质量分数从0.25%增加到≥ 1%时, 丙烷初始转化率由38.7%增至> 55%, 其中, Pt1.5Sn3/Al2O3催化剂上丙烷初始转化率为55.6%。反应330 min, PtSn/Al2O3催化剂上丙烷转化率随着PtSn负载量的增加呈先增后降趋势, Pt1.5Sn3/Al2O3催化剂上丙烷转化率44.2%。可能是当Pt负载质量分数较低时(≤ 1.5%), PtSn纳米颗粒尺寸相对较小, 金属Pt利用率较高, 随着PtSn负载量增加, 活性组分Pt在催化剂表面活性中心数目增多, 丙烷转化率增加, 且选择性和稳定性较好。但金属负载量较高时, PtSn纳米颗粒尺寸较大, 金属Pt原子利用率降低, 丙烷初始转化率趋于稳定。通过H2-TPR表征发现, 当Pt负载质量分数> 1.5%时, 氧化态Sn物种更易被还原, 从而使Pt2Sn4/Al2O3催化剂的稳定性下降。
从图4还可以看出, 不同PtSn负载量的PtSn/Al2O3催化剂上丙烯选择性均> 95%, 其中, Pt1.5Sn3/Al2O3催化剂上丙烯选择性> 98.1%; 当反应进行330 min后, 丙烷转化率仍达44.2%, 仅下降约10%, 选择性保持不变。Pt负载质量分数从0.25%增加到1.5%时, 失活率从75%降至27%, 呈逐渐降低的趋势, 当Pt负载质量分数增加到2%时, 失活率又上升至33%。可能是由于在Pt2Sn4/Al2O3催化剂上氧化态Sn物种在丙烷脱氢的高温条件下长时间反应时被还原, 导致催化剂稳定性下降, 同时, PtSn负载量较高时, Pt纳米颗粒尺寸较大, 裂解等副反应更易发生, 导致稳定性降低。
图5为丙烷脱氢反应进行330 min后不同PtSn/Al2O3催化剂的拉曼谱图。反应后催化剂在1 330 cm-1和1 600 cm-1处出现积炭特征峰, 1 330 cm-1处的特征峰为D带特征峰, 为sp2杂化碳的呼吸振动, 1 600 cm-1处的特征峰为G带特征峰, 是位于C=C链或者芳环中sp2杂化碳的伸缩振动[30]。
由图5可以看出, 每种PtSn负载量的PtSn/Al2O3催化剂的拉曼光谱均出现D带和G带炭的特征峰, 表明形成无序的碳物种和石墨烯晶体[31], 并且其D带与G带的比例ID/IG值基本一致(表1), 表明在不同金属负载量的PtSn/Al2O3催化剂上产生的积炭类型基本相同。
(1) 利用水热法成功制备Al2O3载体, 并采用等体积浸渍法将PtSn负载到Al2O3载体上, 得到系列PtSn不同负载量的PtSn/Al2O3催化剂。
(2) 在制备的催化剂中, Pt1.5Sn3/Al2O3催化剂具有最高的丙烷脱氢活性和稳定性, 初始丙烷转化率高达55.6%, 丙烯选择性98.1%; 当反应330 min后, 丙烷转化率仍达到44.2%, 仅下降约10%, 选择性保持不变。
(3) 当Pt负载质量分数为1.5%和Sn负载量为3%时, 催化剂活性组分分散度较高, 且与载体相互作用最强, 从而使氧化态Sn物种更难被还原, 使催化剂在330 min后仍保持较高的丙烷转化率。
The authors have declared that no competing interests exist.
| [1] |
|
| [2] |
|
| [3] |
|
| [4] |
|
| [5] |
|
| [6] |
|
| [7] |
|
| [8] |
|
| [9] |
|
| [10] |
|
| [11] |
|
| [12] |
|
| [13] |
|
| [14] |
|
| [15] |
|
| [16] |
|
| [17] |
|
| [18] |
|
| [19] |
|
| [20] |
|
| [21] |
|
| [22] |
|
| [23] |
|
| [24] |
|
| [25] |
|
| [26] |
|
| [27] |
|
| [28] |
|
| [29] |
|
| [30] |
|
| [31] |
|

