作者简介: 温春辉,1982年生,男,河北省唐山市人,硕士,高级工程师。
二甲氧基甲烷作为用途广泛的化工原料,其合成技术在不断创新与发展。根据反应原料和工艺流程的不同对二甲氧基甲烷合成技术进行了概述与简评,该技术包含甲醇与甲醛催化缩合制备二甲氧基甲烷、甲醇与多聚甲醛反应制备二甲氧基甲烷、甲醇一步法制取二甲氧基甲烷、离子液体电催化氧化甲醇制取二甲氧基甲烷、二甲醚氧化生成二甲氧基甲烷、二溴甲烷合成二甲氧基甲烷、合成气制备二甲氧基甲烷、甲醇与二氧化碳反应制取二甲氧基甲烷等。醇醛缩合制备二甲氧基甲烷仍是当前主流的生产工艺,甲醇一步法制取二甲氧基甲烷工艺因在环境和投资上有优势而被广泛研究,是最具工业化前景的新技术,该技术尚需突破的是兼具氧化还原性与酸性的双功能催化剂。
As a widespread used raw material of chemical industry,dimethoxymethane synthesis technology had been innovated,developed and improved.The synthesis technology for dimethoxymethane was summarized and evaluated according to the differences of reaction feedstock and technological process.These technologies included dimethoxymethane preparation from methanol and formaldehyde by catalytic condensation reaction,methanol and polyformaldehyde reacting to prepare dimethoxymethane,dimethoxymethane production from methanol oxidation using one-step method,ionic liquids electrocatalytic oxidation of methanol to dimethoxymethane,dimethoxymethane production from dimethyl oxidation,dimethoxymethane synthesis from dibromomethane,dimethoxymethane production from syngas,methanol reacting with carbon dioxide to prepare dimethoxymethane,and so on.Dimethoxymethane preparation from methanol and formaldehyde by condensation is still the mainstream process.Dimethoxymethane production from methanol using one-step method is widely studied for its advantages in environment and investment,which will be the most promising new technology for industrialization,and bifunctional catalysts with both redox and acidity are needed for technical breakthrough.
二甲氧基甲烷(DMM)俗称甲缩醛, 作为甲醇的下游产品具有良好的物化性能[1]。DMM广泛应用于化妆品、药品、家庭用品、工业汽车用品、皮革上光剂、清洁剂、橡胶工业、油漆和油墨等产品中, 同时可替代含氯溶剂减少挥发性有机物排放, 降低对大气的污染, 还可用以制备新型柴油添加剂聚甲氧基二甲醚, 制取乙二醇合成中间体甲氧基乙酸甲酯, 合成医药行业氯甲醚等[2]。目前, 有关DMM合成技术的报道主要集中在醇醛缩合与甲醇直接转化制DMM路线上[3], 还有关于二甲醚氧化制DMM、以二溴甲烷为原料合成DMM、合成气直接制DMM、甲醇与一氧化碳和氧气反应制DMM以及甲醇与二氧化碳反应制DMM的报道。醇醛缩合反应制备DMM工艺, 因液体酸催化剂的流失造成产品污染和设备腐蚀, 液体酸催化剂逐渐被固体酸催化剂取代, 但工艺生产过程中产生的大量废水仍较难处理[4]; 甲醇直接转化制取DMM的工艺方法, 由于省去了甲醛生产工段而使流程缩短, 该技术工序简单、设备投资较低且适合大规模生产, 具有较稳妥的可行性和较好的工业化前景[5]; 二甲醚氧化制DMM需在高温高压条件下进行, 对设备要求高, 且二甲醚转化率和DMM选择性仍不理想。二溴甲烷与甲醇水溶液反应制取DMM工艺[6]、合成气直接制取DMM[7]以及甲醇与二氧化碳反应制取DMM[8]的研究工作报道较少。本文主要针对当前不同DMM合成技术的研究进展进行概述和简评。
醇醛缩合技术是含甲氧基的“ 醇” 端与含醛基的“ 醛” 端在酸性催化剂的作用下缩合生成DMM的过程。传统工艺是以甲醇与甲醛为初始原料在酸性催化剂的作用下合成DMM, 改进后的工艺包含以二甲醚为“ 醇” 端和/或以“ 聚甲醛(三聚甲醛或多聚甲醛)” 为“ 醛” 端催化反应生成DMM的方法, 催化剂体系也随之发生改变。
甲醇与甲醛反应制取DMM工艺是目前成熟的生产工艺, 广泛应用于工业生产, 该工艺原料易得, 操作条件温和易控, 为微放热反应, 放出热量较小, 对反应平衡的转化率影响不大[10, 11]。醇醛缩合工艺分为间歇工艺、半连续工艺、连续工艺和催化反应精馏工艺[12, 13]。
1.1.1 间歇工艺
间歇工艺主要影响因素有催化剂用量、反应温度、甲醇与甲醛进料比例、搅拌速率和反应时间等。该方法操作简单, 条件温和, 因反应平衡限制, 未反应的大量甲醇和甲醛需回收利用, 能耗较高。王淑娟等[14]在间歇工艺下考察了HSZM-5(硅铝比38)作为催化剂时的反应效率, 得出当催化剂用量为6.5%、反应温度为55 ℃、n(甲醇)∶ n(甲醛)=2.5∶ 1和反应时间90 min时, 甲醛转化率45%, DMM选择性99%。
1.1.2 半连续工艺
半连续工艺主要影响因素为反应温度、搅拌速率、甲醇与甲醛的进料比、催化剂用量、采出比和反应时间等。该工艺因操作难度较大且不具有连续性而使效率偏低。Guan X W等[15]以对甲苯磺酸作为均相催化剂, 反应精馏2 h, 精馏塔顶温度50 ℃, 塔釜85 ℃, 搅拌速率60 r· min-1, 催化剂用量占反应物总量的5%的条件下, DMM在精馏塔顶馏出物占比为75%。
1.1.3 连续合成工艺
连续合成工艺主要影响因素包括催化剂、醇醛进料比、进料量、反应温度、压力和回流比等。该工艺实现了连续生产的目的, 但因连续合成工艺较传统的反应精馏工艺塔分离效果相对较差, 只有通过不断的条件优化, 才能达到生产要求。黄碧慧等[16]采用过程条件模拟, 在反应温度55 ℃、压力0.1 MPa条件下, 塔顶DMM的浓度可达到95.20%。
1.1.4 催化反应精馏工艺
催化反应精馏工艺主要影响因素是催化剂、进料量、醇醛比例、反应温度、操作压力和回流比等。该工艺实现了连续进料生产, 并且在热力学上有利于反应不断向右移动, 降低了生产能耗, 但在精馏塔内装填及更换催化剂困难, 无法保证整个过程的长时间连续操作。周伟等[17]开发了采用等离子交换树脂和不锈钢丝组成的催化剂填料, 在内径25 mm, 高1 000 mm的玻璃反应精馏塔内进行甲醇与甲醛反应的实验, 结果表明, 该催化填料具有良好的活性和分离能力, 2 000 h未见活性衰退。
与甲醇和甲醛反应机理类似, 甲醇与多聚甲醛反应是含甲氧基的“ 醇” 端与含醛基的“ 醛” 端在催化剂的作用下缩合生成DMM的过程, 但多聚甲醛多为固体颗粒物, 一般在有机溶剂存在的情况下采用酸性催化剂发生反应。
朱志荣等[18]以甲醇和三聚甲醛为原料, 采用固体酸催化剂, 在常压和反应温度(50~90) ℃下, 甲醇转化率75.2%~85.4%, DMM选择性98.5%~99.5%。该工艺由于使用三聚甲醛为原料, 有效解决了传统工艺中原料引入大量废水的问题, 但原料成本也随之上升。许春梅[19]等采用甲醇与多聚甲醛为原料、硫酸为催化剂, 在甲苯溶剂中合成DMM, 研究了反应温度、催化剂用量、原料配比对反应的影响, 结果表明, 在60 ℃、n(多聚甲醛)∶ n(甲醇)=0.55、催化剂含量为5.0%~8.0%时, DMM选择性为99.4%, 甲醇转化率为91.8%, 最后得到的产品中二甲氧基甲烷91.6%、水2.1%、甲醇6.8%。
二甲醚与甲烷反应制取DMM的方法是在研究介质阻挡放电二甲醚转化时, 得到转化产物DMM证实的。王育[19]利用等离子体在反应温度100 ℃、压力0.1 MPa、甲烷与二甲醚进料比为1∶ 1时, 等离子体共转化甲烷和二甲醚生成液相产品总选择性达到28.0%, 其中DMM和二甲氧基乙烷的选择性最高达到6.2%和14.0%, 该工艺方法为替代醇醛缩合制DMM提供了新途径。
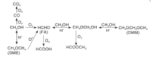
该技术反应原理为甲醇首先在催化剂氧化位上转化成甲醛, 甲醛再与甲醇在酸性位上生成DMM。催化剂同时具有酸性中心和氧化还原中心, 且酸性中心和氧化还原中心的强度适宜, 既能将甲醇氧化缩合成DMM, 又不至于将其深度氧化生成甲酸、碳氧化物、甲酸甲酯或者甲醇脱水成二甲醚, 这也要求反应在适宜的温度下进行, 同时保持适宜的反应接触时间。甲醇直接转化制DMM反应网络如图1所示。甲醇一步氧化生成DMM的工艺方法, 由于省去了甲醇氧化制甲醛工序而缩短了工艺流程, 降低了投资和生成成本, 并且使含醛含酸废水大量减少[20, 21]。该工艺常用催化剂有铼系、杂多酸、钼钒系和钒钛系等, 反应工艺按照相际接触方式大致分为气-液-液/固、液-固、气-固相三类。
该工艺化学反应方程式为:
6CH3OH+O2
该工艺采用液体酸或杂多酸等催化剂, 通过甲醇与酸性催化剂混合的方式, 控制催化剂与原料的比例, 通入氧气在反应釜中进行反应。刘鹏等[22]以CuCl与多种肟的配合物作为催化剂一步液相氧化生成DMM, 甲醇转化率达到21.0%, DMM选择性达到99.0%以上。刘海超等[23]研究发现, 在较低的反应温度下H3+nVnMO12-nPO40能够催化甲醇反应得到DMM, 同时经过改性后的催化剂具有更好的DMM选择性, 由于杂多酸的酸性较强, 生成了较多的副产物DME, 经过有机胺等有机碱使催化剂表面酸性中毒, 可抑制DME的生成, 提高DMM选择性。
该工艺化学反应方程式为:
3CH3OH+H2O2
将甲醇、过氧化氢和一定比例的催化剂投入搅拌釜中反应即可生成目标产物。PradoN T[24]以表面修饰的氧化铌为催化剂, 将一定量的催化剂、甲醇和过氧化氢加入密封的玻璃反应器中搅拌, 在120 ℃下, 甲醇单程转化率约58.0%, DMM选择性近100%。
现有甲醇一步转化制DMM工艺方面, 大部分研究在气相条件下甲醇与含氧气体按照一定的比例通入固定床反应器进行催化反应, 因该工艺减少了甲醇氧化生成甲醛的工艺, 因此缩短了流程, 大大节省了投资。
该工艺化学反应方程式为:
6CH3OH+O2
该工艺在常压下进行, 主要影响因素包括反应温度、空速和醇氧比等, 采用的催化剂主要有V2O5/TiO2催化剂、Re基催化剂、Ru基催化剂以及Mo基催化剂等。Fu Y C[25]和Lu X L[26]等分别采用浸渍法制备了硫酸盐改性的V2O5/TiO2催化剂, 研究发现, 采用酸性硫酸盐Ti(SO4)2、(NH4)2SO4和稀硫酸改性时, 都显著提高了V2O5/TiO2甲醇转化率和DMM选择性, 甲醇转化率和DMM选择性分别达到了49.0%和93%。日本东京大学Iwasaw使用SbRe2O6在300 ℃反应得到DMM, 选择性为93%, 但转化率偏低, 催化剂经过改进后转化率达到49%, 因金属Re价格比较昂贵, 且在反应过程中易流失, 工业化有一定困难。Liu H C等[27]研究了Ru基催化剂对甲醇部分氧化生成DMM的反应性能, 结果表明在反应温度(30~130) ℃时, DMM选择性大于99%。
利用咪唑型离子液体作为电化学反应的支持电解质, 通过对阳离子及阴离子的调控, 制备出适合甲醇电极氧化合成DMM的离子液体材料。甲醇分子吸附在阳极表面, 在电极上发生电化学氧化行为生成甲醛, 生成的甲醛和甲醇在电解质溶液中发生缩合反应生成DMM。
该反应的化学方程式如下:
6CH3OH+O2
二甲醚也是一种重要的煤基化学中间品, 采用二甲醚氧化制DMM具有原料基础, 但由于二甲醚是甲醇脱水产物, 因此该工艺原料成本高于甲醇氧化制DMM技术。
二甲醚氧化制DMM的反应方程式为:
4CH3OCH3+O2
该工艺是由二甲醚一步氧化制得DMM, 催化剂由改性的杂多酸和硅胶、氧化镧、氧化铝、氧化钛或分子筛载体组成, 采用该催化剂将原料二甲醚和氧气的质量比控制在(1∶ 3)~(3∶ 1)之间, 在固定床反应器中进行, 空速为(1 000~2 000) h-1, 反应温度(250~400) ℃, 反应压力(1.0~3.0) MPa, 反应时间(10~600) min。因原料与投资成本比甲醇氧化制DMM工艺的高, 故该技术的经济性相应下降[29, 30]。
二溴甲烷合成DMM的反应方程式为:
CH2Br2+2CH3OH
利用甲烷的下游产品二溴甲烷作为反应原料, 加入用无水甲醇溶解的氢氧化钾, 在(40~65) ℃下搅拌(2~10) h进行反应, 随后蒸馏即得DMM, 此工艺简便易行, 为有此原料的特殊企业提供了新的合成路线。单永奎等[31, 32]在常温常压、m(氢氧化钾)∶ m(二溴甲烷)∶ m(甲醇)=(2.8~11.2)∶ (2.5~15)∶ 31.6的条件下, 即可制得甲缩醛。由于二溴甲烷有毒, 反应与分离效果均未知, 因此该技术尚需继续研究。
合成气直接制DMM反应方程式为:
3CO+5H2
热力学计算表明, 该路线在温度(180~220) ℃、压力≥ 0.5 MPa的相对温和条件下就可进行。在此工艺下, 以含钯、铜的分子筛为催化剂, 先后发生合成气制甲醇、甲醇脱氢制甲醛、甲醛与甲醇缩合制DMM三个反应[7]。显然此类反应工艺最大的问题是反应效率, 即原料转化率与产品选择率低, 若能解决此问题, 该技术无疑是目前工艺流程最短的DMM合成路线。
温室气体CO2的资源化利用一直以来都是学术界研究的重点, 解决此问题一方面可以实现碳减排, 有利于环保; 另一方面可以实现能源的循环利用, 达到可持续发展, 以CO2和甲醇为原料制备DMM的反应方程式为:
3CH3OH+CO2
Zhang Q J 和Zhang Y H[8, 9]等利用甲醇和二氧化碳在咪唑类离子液体中合成碳酸二甲酯时, 检测到副产物DMM, 因此进行了合成DMM的研究, 发现甲醇和二氧化碳在碱性功能化离子液体BmimOH作用下, 在反应温度150 ℃和压力3.0 MPa的条件下生成DMM, 其选择性为85%, 但甲醇转化率仅2.40%。尽管该工艺有一定环保及现实意义, 但反应效率太低, 且反应生成甲酸, 距离工业化还较远。
DMM原料广泛, 技术路线众多。甲醇与甲醛经缩合反应制备DMM是目前的主流工艺路线, 但存在双原料、或单原料工艺路线长、废水多等问题。随着DMM合成技术的不断发展, 甲醇直接转化制DMM在原料、工艺和投资等方面相比传统技术均体现出优势, 表现出较好的应用前景, 因此, 进一步研究新工艺、提升新技术, 有利于降低企业成本, 同时降低环保风险, 提高产品的市场竞争力。甲醇一步法制DMM因工艺简单、投资省、节能环保等优势, 具有较高的工业化价值和较好的应用前景。针对该工艺, 未来需重点突破兼具氧化还原性与酸性的双功能催化剂, 同时开发配套的反应工艺。
| [1] |
|
| [2] |
|
| [3] |
|
| [4] |
|
| [5] |
|
| [6] |
|
| [7] |
|
| [8] |
|
| [9] |
|
| [10] |
|
| [11] |
|
| [12] |
|
| [13] |
|
| [14] |
|
| [15] |
|
| [16] |
|
| [17] |
|
| [18] |
|
| [19] |
|
| [20] |
|
| [21] |
|
| [22] |
|
| [23] |
|
| [24] |
|
| [25] |
|
| [26] |
|
| [27] |
|
| [28] |
|
| [29] |
|
| [30] |
|
| [31] |
|
| [32] |
|

