作者简介:石壹军,1995年生,男,浙江省绍兴市人,在读硕士研究生,研究方向为环境催化。
含氯挥发性有机化合物(CVOCs)对环境安全和人类健康存在持久性污染和危害。催化氧化法具有操作温度低和CO2选择性高等优点,被广泛应用于CVOCs催化降解。催化剂作为CVOCs催化降解过程的核心部分,受到很多学者的关注。分析酸性分子筛、金属改性分子筛和复合氧化物酸性材料对各种CVOCs催化氧化活性、副产物控制性能、CO2和HCl选择性的影响。结果表明,催化剂表面酸中心、氧化中心和催化剂表面结构性质在CVOCs催化氧化过程中起重要作用。较多酸中心和较大比表面积有利于CVOCs分子的吸附和活化,提高HCl选择性。而较多氧化中心则有利于CVOCs深度氧化,减少副产物产生,提高CO2选择性。
Chlorinated volatile organic compounds (CVOCs) are considered as pollutants hazardous to both ecological environment and human health.Compared with other degradation approaches,catalytic oxidation is considered as the most promising method due to the advantages of low operating temperature and high CO2 selectivity.Catalysts play a key role in the process of CVOCs degradation and many researchers have pay more attention to establish high catalytic activity and stability catalysts in recent years.The catalytic activities of catalysts for CVOCs degradation are mainly decided on acid sites and oxidation sites and hence many acidic materials are used in catalytic oxidation of CVOCs.In this paper,catalytic activities,control performance of by-product,CO2and HCl selectivity for various CVOCs over zeolites,metal-modified zeolites and acidic materials of mixed oxides are reviewed in detail.The results show that acid sits,oxidation sites and textural properties of catalysts play an important role in the catalytic oxidation of CVOCs.More acid/oxidation sites and larger specific surfaces are beneficial for the absorption-activation of CVOCs and improving HCl selectivity.More oxidation sites are conductive to the deep oxidation of CVOCs,reducing the content of by-product and improving the selectivity of CO2 in the process of CVOCs degradation.
随着工业化和城市化脚步的不断加快, 挥发性有机化合物(VOCs)的排放不断增加。其中, 1, 2-二氯乙烷、二氯甲烷(DCM)、氯乙烯和氯苯等含氯挥发性的有机化合物是工业常用的原料和溶剂, 所以含氯挥发性有机化合物(CVOCs)在各种排放的VOCs中占较大比例[1, 2, 3, 4]。CVOCs具有高致癌性, 吸入人体后会在体内积累而不能排除, 同时还会引发光化学烟雾、大气臭氧损耗和地面臭氧生成等一系列环境问题。因此, 对CVOCs降解方式的探索成为近年来较为热门的研究方向[5, 6, 7, 8]。
在CVOCs降解处理方法中, 催化氧化法因其具有操作温度较低、产物可控性较强和处理量大等优点被广泛应用于CVOCs催化降解[5, 6, 7, 8, 9, 10, 11, 12]。研究发现, CVOCs催化降解活性与催化剂表面的酸性及氧化中心有密切联系[1, 2, 3, 4, 5]。因此, 一些带有较多酸中心的材料, 如酸性分子筛、金属改性分子筛以及一些复合氧化物酸性材料常被用来作为CVOCs催化氧化催化剂, 而得到广泛研究。本文主要分析酸性材料催化剂在各种CVOCs催化氧化降解过程中的催化性能, 以及催化剂表面酸性中心、氧化中心和表面结构性质等对催化剂的降解活性、稳定性、副产物种类和CO2/HCl选择性的影响及其作用机理。
分子筛含有丰富的B酸中心和特殊的孔道, 是最早被用作CVOCs催化氧化的催化剂。表1为不同分子筛对CVOCs催化氧化性能的对比结果。由表1可见, H型分子筛在CVOCs催化氧化方面应用最多, 主要包括H-Beta、H-ZSM-5和H-MOR等[13, 14, 15, 16, 17]。
| 表1 不同分子筛对CVOCs催化氧化性能的对比结果 Table 1 Catalytic oxidationperformance of CVOCs over different zeolites | 
Tijima M等[13]研究了多种固体酸(HY、HZSM-5、r-Al2O3和SiO2-TiO2)对氯氟烃(CFCs)的催化氧化性能, 研究发现, 含有较多B酸中心的H型分子筛对氯氟烃的催化氧化具有最好活性, 对最终产物CO2具有较好选择性, 而C— Cl键断裂及Cl与固体酸表面的H结合形成HCl是Cl-VOCs催化氧化的决速步骤。文献[17, 18, 19]考察了HY、H-MOR和H-ZSM-5等H型分子筛对1, 2-二氯乙烷(DCE)和1, 1, 2-三氯乙烯(TCE)的催化氧化性能, 催化降解DCE活性顺序:H-ZSM-5> H-MOR> HY, TCE降解活性顺序:H-MOR> H-ZSM-5> HY。得出同样结论, 拥有最多B酸中心的H型分子筛表现出最好的降解活性, B酸中心在分子筛催化氧化CVOCs过程中起决定作用。DCE催化氧化过程中的中间产物主要为C2H3Cl, 是由反应物分子中的Cl与分子筛表面的H结合脱氯后形成, 该副产物在(250~400) ℃可进一步转化降解, 这3种H型分子筛都具有很高的HCl选择性; 而在TCE氧化过程中发现有少量C2Cl4生成。同时CVOCs在各分子筛上的催化氧化过程中均产生大量的CO, 这主要与分子筛只含有大量的酸性中心而没有氧化中心有关, 生成的副产物不能进一步深度氧化造成; 另一方面, 由于活性氧物种的缺失导致不利于Deacon反应的正向进行, 因此生成HCl选择性较高。推测反应机理可能为:
C2H4Cl2→ C2H3Cl+HCl (1)
C2H3Cl+($\frac{1}{2}$+x)O2→ 2COx+2HCl+H2O(2)
C2H4Cl2+($\frac{1}{2}$+x)O2→ 2COx+2HCl+H2O (3)
2HCl+$\frac{1}{2}$O2$\rightleftharpoons$Cl2+H2O (4)
除此之外, 文献[17, 18, 19]还研究了反应体系中存在一些非氯代烃和H2O对分子筛催化氧化CVOCs性能的影响。研究发现, 非氯代烷烃的存在会导致分子筛催化氧化CVOCs活性下降, 主要原因是两种反应物在活性位点上的竞争吸附; 同时研究发现, 由于非氯代烷烃的催化氧化能够产生H2O, 而产生的H2O又能清理掉分子筛活性位点上的积氯, 因此, 有效降低了分子筛催化CVOCs氧化过程中副产物的含量, 且提高了HCl选择性[20, 21]。而H2O存在的影响主要与分子筛本身的亲疏水性有关, 对于疏水分子筛, 如H-ZSM-5和H-MOR, 由于其具有疏水性, 水分子不容易吸附在活性位点, 但H2O的存在有利于CVOCs水解, 提高CVOCs降解转化率[19]。而当分子筛拥有良好亲水性时(如H-Y分子筛), H2O分子会和CVOCs分子在活性位点上发生竞争吸附, 因此, 随着水气含量增加, 分子筛对CVOCs催化氧化效率不断降低[22]。但对于Cl/H较高的CVOCs, 水的存在能促进水解, 有利于催化降解[23, 24]。
使用化学方法脱铝来改变分子筛酸性, 改善其对CVOCs催化降解性能, 也吸引了一些研究者关注。文献[17, 18, 25]采用氟硅酸铵对HY型分子筛进行脱铝, 得到一系列不同脱铝程度的氢型分子筛, 评价了分子筛对CVOCs催化降解性能。结果表明, 与未经脱铝的分子筛相比, 脱铝处理后HY分子筛活性均有明显提高。而脱铝程度50%的分子筛, 因其没有破坏分子筛的结构同时又增加了B酸中心, 表现出最好的CVOCs催化氧化性能。综上认为, B酸中心是CVOCs降解的活性中心, 适当增加B酸位点, 有利于反应物的吸附和活化, 从而提高催化降解反应活性。
分子筛的孔道结构对CVOCs催化氧化性能有一定的影响。Intriago L等[26]研究了HA、HY、HX和H-ZSM-5等几种H型分子筛对TCE和DCM的吸附性能与其催化氧化性能之间的联系。研究发现, 分子筛对CVOCs催化氧化性能与分子筛孔道吸附容量、分子筛表面吸附位点和CVOCs吸附强度有关。当分子筛表面拥有较多的强B酸中心时, 有利于CVOCs分子的吸附和活化。由于C— Cl键的断裂比C=C的断裂更容易, 因此, H型分子筛对DCM的催化降解活性高于TCE。各种分子筛上CVOCs的降解产物主要为CO、CO2、HCl和Cl2等, 对CVOCs有较好催化降解性能的分子筛, 最终产物中Cl2含量最高。HX和HY型分子筛催化剂有较好的CO2选择性。
综上所述, 分子筛中含有丰富的B酸中心, 有利于CVOCs的吸附和活化, 可提高其催化降解活性, 而特殊的孔道结构则有利于对CVOCs降解反应过程中的中间产物或最终产物选择性控制。分子筛在使用过程中常易失活, 文献[27, 28, 29, 30]研究发现, 活性位点上的积炭和催化氧化过程中HCl的吸附是导致分子筛失活的主要原因。研究还发现, 分子筛孔道越单一, 孔径越小, 表面酸性越强, 积炭越严重; B酸位点暴露越少, 分子筛孔道堵塞越严重, 分子筛越容易失活。而对于一些低硅铝比的分子筛, 其骨架中大量的Al会与CVOCs催化氧化过程中产生的HCl结合产生AlCl3, 导致其骨架破坏, 酸性位点减少, 使分子筛的催化降解活性降低[14, 31, 32]。H-ZSM-5分子筛拥有特殊的“ 之” 字型交叉孔道, 具有良好的抗积炭性能, 而其较高的硅铝比也能有效防止HCl对骨架的腐蚀, 因此该分子筛最适合用于CVOCs催化氧化。分子筛催化氧化CVOCs存在的另外一个问题是分子筛只含有酸性中心, 其副产物主要以脱氯产物为主; 由于缺少氧化中心, 因此其副产物含量较高, 且副产物进一步转化所需要的反应温度也较高, 同时由于缺乏深度氧化能力, 最终产物中CO含量较高。因此, 对于分子筛进行一些改性, 使其具有较好的抗积炭、抗积氯和深度氧化能力很有必要。
基于分子筛酸性位点过剩而氧化位点不足的特点, 可以通过一些金属离子的引入来增加分子筛的氧化中心, 增加表面氧物种及其流动性, 使分子筛催化剂具有较好的抗积炭、抗积氯性能和骨架稳定性。分子筛改性常用的金属主要有贵金属、过渡金属[33, 34, 35, 36, 37, 38, 39, 40]和CeO2[31, 41-42]等, 改性方式主要包含离子交换法、浸渍法、固相合成法和水热法[35, 36, 37, 38, 42]等。表2为不同金属改性分子筛催化剂对CVOCs催化氧化性能的影响。
| 表2 不同金属改性分子筛催化剂对CVOCs催化氧化性能的影响 Table 2 Catalytic oxidationperformance of CVOCs over metal-modified zeolites | 
Kobayashi W等[43]对Pt/Al2O3和Pt/Na-MOR催化剂上DCE的降解性能进行了对比, 研究发现, Pt/Na-MOR催化剂具有较好的DCE催化降解活性, 低于350 ℃将DCE完全转化, 且具有较好的HCl和CO选择性, 但该催化剂稳定性较差, 而Pt/Al2O3催化剂则正好相反。还发现催化剂对CVOCs的降解活性与其对CVOCs的吸附性能呈正相关。同时, 将Pt/Al2O3和分子筛物理混合时, 由于Pt/Al2O3拥有丰富的氧化中心, 而具有较多酸性中心和孔道结构的分子筛有利于反应物的吸附, 因此表现出较好的催化降解活性和稳定性。
Lopez-Fonseca R等[44]研究了分子筛中添加Pd对DCE和TCE催化降解性能的影响。结果表明, Pd的添加未明显提高催化剂对DCE的降解活性, 但明显提高了对TCE的降解活性(T50%降低约80 ℃)。发现对DCE的催化氧化过程中氯乙烯是主要的副产物, 添加一定量Pd, 明显降低了氯乙烯含量, 并且对HCl和CO2选择性也有较大提高。而对TCE的催化氧化过程中只生成了少量的氯乙烯, 但是生成了很多其他的含氯副产物; 同时Pd的添加明显增强了Deacon反应, 由于TCE中Cl/H比值较高, 因此催化剂对生成Cl2的选择性明显增加。但由于TCE具有不饱和结构, 能够与Cl形成p-π 共轭, 所以其较难被深度氧化而生成CO2的选择性较低。
Wang X Y等[45]采用浸渍法制备了一系列La、Ce、Pt单独掺杂和La-Pt、Ce-Pt共同掺杂的Si-MCM-41催化剂, 研究了其对TCE的催化氧化性能。结果表明, La-Pt和Ce-Pt双金属负载到分子筛载体上能显著增加分子筛催化剂对TCE的催化氧化活性, 同时认为, Cl2的形成主要由于空气中氢源的缺少导致。该课题组还通过两次浸渍制备了同时拥有酸中心和氧化中心的Pt/P-MCM-41催化剂, 该催化剂对TCE有较好的降解活性, 同时生成副产物氯乙烯的选择性也较低, 发现生成氯乙烯的量与L酸中心的含量有关, 而Pt/P-MCM-41的优异催化降解性能主要与Pt和弱酸中心的协同作用有关。
过渡金属因其具有较强的抗积氯性能和丰富的表面氧物种, 被广泛应用于分子筛的改性。文献[16, 46, 47, 48, 49, 50, 51, 52, 53]采用离子交换法制备了一系列过渡金属改性的分子筛催化剂。结果表明, Cr具有较高的电离电势和多个可变价态, Cr6+物种对CVOCs有极强的氧化活性, 有利于对副产物的深度氧化; Cr3+物种与催化剂表面的Cl结合移除催化剂表面的积氯, 有效防止活性中心中毒。该课题组还研究了Cr-Y和Cr-ZSM-5催化剂上不同CVOCs的吸附性能和催化活性之间的关系, 发现吸附性能越强, 对应的催化活性越好。Rachapudi R等[46]采用离子交换法制备了Cr-ZSM-5催化剂, 研究其失活机理。结果表明, Cr主要通过三种方式与分子筛结合, 有一部分Cr位于ZSM-5分子筛的直型孔道、直型和“ 之” 型孔道的连接处, 这部分Cr物种作为活性中心能吸附反应物分子并使其催化降解, 但由于这些Cr离子容易与反应物分解产生的Cl物种形成氯氧化物, 导致活性中心流失和催化剂活性降低。而与晶格氧相结合的Cr物种和窦状孔道中的Cr物种则不容易迁移和流失, 同时这些Cr离子与分子筛存在较强的作用力并不利于CVOCs分子的吸附, 所以该催化剂具有较好的抗失活性能。Abdullah A Z等[32]研究了Cr-Cu改性的H-ZSM-5催化剂对CVOCs催化氧化性能的影响。研究发现, 经过脱铝处理的H-ZSM-5分子筛显著提高对HCl的耐腐蚀性。而Cr-Cu双金属的引入明显提高分子筛的氧化中心数量而提高其氧化性能, 在CVOCs降解过程中只有少量的积炭, 而催化剂的部分失活主要与金属氯化物的形成而导致活性中心的流失有关。当水加入反应体系时, 由于竞争吸附的存在, 分子筛对CVOCs的催化降解活性受到抑制, 但对生成CO2选择性和副产物控制性能有明显提高。
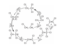
CeO2拥有丰富的氧空穴和表面氧物种, 因此, 利用CeO2对分子筛进行改性也有较多研究。Rivas B D等[41]研究了CeO2负载量对H-ZSM-5上DCE催化降解性能的影响。结果表明, CeO2负载量为11%时, 催化剂对DCE有最好的催化氧化活性, 约350 ℃可将DCE完全转化。CeO2的负载增强了催化剂表面氧的流动性, 由于其本身酸性较弱, 对分子筛的酸性并没有较大影响。Rivas B D等[41, 42]采用离子交换法、浸渍法和沉淀法制备了一系列CeO2/H-ZSM-5催化剂。研究表明, 由于分子筛的酸性中心和CeO2的氧化中心之间的协同作用, 使得催化剂对CVOCs具有良好的催化氧化活性, 同时也使催化剂的耐受性显著提高。浸渍法制备的催化剂具有较多的氧空穴, 因此具有较好的催化降解性能。Huang Q Q等[54, 55, 56]研究了CeO2改性USY分子筛对CVOCs的催化氧化性能, 发现CeO2与USY的协同作用明显提高了分子筛的催化氧化性能。当CeO2:USY=1:8时, CeO2物种在USY表面分散程度最高, 对DCE有最好的催化氧化活性, 也有较好的HCl选择性和CO2选择性。Huang Q Q等还研究了CeO2和CrOx之间的协同作用, 以及CeO2-CrOx与分子筛的协同作用对CVOCs催化降解性能的影响。研究发现, 这些协同作用能有效提高催化剂表面氧的流动性和表面强弱酸比例, 从而显著提高催化剂对CVOCs的降解活性。Xue X等[57]系统研究了MOx-CeO2/H-ZSM-5上CVOCs的催化氧化性能, 结果表明, H-ZSM-5分子筛负载一定量的MOx-CeO2复合氧化物均可使催化剂的降解活性有一定程度的提高, 其中由于CeO2和Cr2O3的强相互作用, 使催化剂表面氧的流动性明显提高, 因此, CrOx-CeO2/H-ZSM-5催化剂对DCE表现出最好的催化降解性能。Weng X L等[58]研究了  
| 图1 DCE在CeO2-HZSM-5上生成含氯副产物可能的方式Figure 1 The formation pathways of chlorinated by-product during the catalytic oxidation process of DCE over CeO2-HZSM-5 catalysts | 
综上所述, 与单纯分子筛相比, 金属改性分子筛催化剂拥有丰富的表面氧物种, 催化剂抗积炭、抗积氯性能及其稳定性均有显著提高, 同时也表现出较好的CO2选择性。但由于存在丰富的活性氧物种, 在高温反应条件下很容易将HCl氧化成Cl2, 因此高温时生成HCl的选择性较差。
含分子筛的CVOCs降解催化剂, 除因其表面存在强酸性位点而影响催化剂抗积炭性能外, 另一缺点是分子筛骨架中的Al容易与HCl形成AlCl3而导致其流失, 影响分子筛结构稳定性。为了克服缺陷, 用Ti取代分子筛中的Al或用具有一定酸性的氧化物等改善材料酸性。表3为不同酸性材料对CVOCs催化氧化性能的影响。
| 表3 不同酸性材料对CVOCs催化氧化性能的影响 Table 3 Catalytic activities of CVOCs oxidation over other acid materials | 
钛硅分子筛是使用模板剂合成的TiO2-SiO2介孔材料, 拥有分子筛类似的孔道结构和酸性, 但比Si-Al分子筛有更强的抗HCl性能, 因此较多学者将钛硅分子筛作为CVOCs催化氧化的催化剂载体。Zhao H J等[60]制备了一系列不同Nb、Ce物质的量和不同TiO2、SiO2质量比的CeNb/TiO2-SiO2催化剂, 研究不同比例对催化剂催化氧化邻二氯苯性能的影响。研究表明, 弱酸中心主要为SiO2表面的羟基, 而Nb主要提供催化剂中强酸的酸性中心。载体中Ti含量最高的催化剂表现出最好的催化活性(T90%为335 ℃), 但容易积氯而失活, 而载体中Si含量较高的催化剂则相反, 认为o-DCB在CeNb/TiO2-SiO2上的降解反应遵循Mvk理论。Zhao H J等[61]研究了CeMn/TiSi催化剂上o-DCB的催化氧化性能。结果表明, 当HCl与Ti+Si物质的量比为1.5时, 该催化剂具有最多的酸性中心、氧化中心和最大表面积, 因此具有最佳催化活性(T100%为380 ℃), 而载体酸性的增强可能与Ti— O— Si键的形成有关。
固体酸作为一类常用的酸性载体材料, 如TiO2、WO3、MoO3和Nb2O5等, 因其具有丰富的酸中心和较高化学价态, 被广泛应用于酸催化和氧化还原反应。Wan J等[62]制备了一系列不同(Ce, Cr)xO2负载量的(Ce, Cr)xO2/Nb2O5催化剂, 研究其负载量对DCE催化氧化活性的影响。结果表明, 当(Ce, Cr)xO2/Nb2O5质量比为0.25时, (Ce, Cr)xO2和Nb2O5之间的相互作用最强, 酸性中心和氧化中心最为协调, DCE催化氧化性能最好, 而Nb2O5表面的强酸中心有利于DCE吸附和脱去HCl。Jiao Y M等[63]比较了不同方法制备的Cr/TiO2催化剂上CB催化氧化性能的差异。结果表明, 采用水热法一步合成的Cr/TiO2催化剂因其含有最多的高价Cr物种和CrTiOx固溶体, 其具有最高的CB催化氧化活性。而h-CrTi0.4催化剂具有很强的移除表面吸附氯物种的能力, 因此该催化剂对CB的催化氧化有很好的稳定性。Zhou B等[64]研究了Ni-V负载对空心锐钛矿TiO2催化降解DCM性能的影响。结果表明, 纯TiO2具有丰富的L酸中心, 对DCM有较好的催化降解活性, 但由于其氧化中心的缺失, 导致生成副产物MCM含量较高, 而负载Ni-V后的4%Ni-V/TiO2催化剂不仅提高了催化降解活性, 也抑制了副产物生成。Gu Y F等[65, 66]研究了W改性后CeO2和Pt/CeO2催化剂上含氯芳香族VOCs催化氧化性能的差异。结果表明, W— O— Ce键的形成能够增加催化剂表面的氧空穴浓度和酸性, Pt— O— W键的形成能够促进催化剂表面氧的还原而提高催化剂对CVOCs的催化降解性能。因此, W改性后Pt-xW/CeO2和WOx/CeO2催化剂在各种环境中都对CB表现出良好的催化氧化性能, 并且对副产物拥有良好的控制性能。
研究发现, 很多黏土材料拥有丰富的酸中心和特殊孔道结构, 同时黏土材料还具有较强的结构可调性, 应用于CVOCs催化降解受到广泛关注。Storaro L等[67]研究了Al、Al-Fe、Al-Ru或Al-Cr柱撑改性的膨润土上DCM催化氧化性能。结果表明, 采用Al-Cr柱撑改性的膨润土具有最高的催化降解活性, 约300 ℃即可将DCM完全氧化。认为B酸中心对CVOCs的催化氧化起决定作用, 而被Al-Cr柱撑改性的膨润土材料因其Cr3+物种能在表面形成很多强的B酸中心, 因此具有最好的催化降解活性。Srorao L等[68]研究了柱撑Cr含量对其催化降解性能的影响, 发现随着柱撑Cr含量增加, 催化剂对DCM降解活性增加。而拥有最多表面酸位点的ACrPA表现出最好的催化降解活性, 但在使用过程中存在积炭现象。Zuo S F等[69]研究了Ti柱撑膨润土负载CrCe催化剂上CB的催化氧化性能。结果表明, 与未柱撑的Cr/PILC催化剂相比, Ti柱撑改性后的Cr/Ti-PILC催化剂上的CB完全转化温度降低了约100 ℃。
研究还发现, 采用  
近年来, 酸性材料在CVOCs催化氧化方面的研究有较大进展, 较多的酸性材料被改性后应用于CVOCs催化氧化:(1) 分子筛因其丰富的B酸中心和特殊的孔道, 对CVOCs具有较好的降解活性和HCl选择性。但由于其酸性过强和氧化中心不足等特点, 容易积炭, 对HCl耐受性较弱, 脱氯后副产物含量较高, CO2选择性较低。(2) 金属改性分子筛由于在保留分子筛原有酸性中心的前提下增加了氧化中心, 因此抗积炭和抗积氯性提高, 同时生成副产物含量降低, CO2选择性显著提高。但在高温下易将HCl氧化成Cl2, 对HCl高温选择性较差。(3) 改性后的钛硅分子筛、固体酸等催化剂表面具有丰富的、比例协调的酸中心, 同时具有较多的活性氧物种。该类催化剂对CVOCs均具有较好的降解活性和稳定性, 且有较高的HCl和CO2选择性, 表现出良好的应用前景。
| [1] | 
							 | 
					
| [2] | 
							 | 
					
| [3] | 
							 | 
					
| [4] | 
							 | 
					
| [5] | 
							 | 
					
| [6] | 
							 | 
					
| [7] | 
							 | 
					
| [8] | 
							 | 
					
| [9] | 
							 | 
					
| [10] | 
							 | 
					
| [11] | 
							 | 
					
| [12] | 
							 | 
					
| [13] | 
							 | 
					
| [14] | 
							 | 
					
| [15] | 
							 | 
					
| [16] | 
							 | 
					
| [17] | 
							 | 
					
| [18] | 
							 | 
					
| [19] | 
							 | 
					
| [20] | 
							 | 
					
| [21] | 
							 | 
					
| [22] | 
							 | 
					
| [23] | 
							 | 
					
| [24] | 
							 | 
					
| [25] | 
							 | 
					
| [26] | 
							 | 
					
| [27] | 
							 | 
					
| [28] | 
							 | 
					
| [29] | 
							 | 
					
| [30] | 
							 | 
					
| [31] | 
							 | 
					
| [32] | 
							 | 
					
| [33] | 
							 | 
					
| [34] | 
							 | 
					
| [35] | 
							 | 
					
| [36] | 
							 | 
					
| [37] | 
							 | 
					
| [38] | 
							 | 
					
| [39] | 
							 | 
					
| [40] | 
							 | 
					
| [41] | 
							 | 
					
| [42] | 
							 | 
					
| [43] | 
							 | 
					
| [44] | 
							 | 
					
| [45] | 
							 | 
					
| [46] | 
							 | 
					
| [47] | 
							 | 
					
| [48] | 
							 | 
					
| [49] | 
							 | 
					
| [50] | 
							 | 
					
| [51] | 
							 | 
					
| [52] | 
							 | 
					
| [53] | 
							 | 
					
| [54] | 
							 | 
					
| [55] | 
							 | 
					
| [56] | 
							 | 
					
| [57] | 
							 | 
					
| [58] | 
							 | 
					
| [59] | 
							 | 
					
| [60] | 
							 | 
					
| [61] | 
							 | 
					
| [62] | 
							 | 
					
| [63] | 
							 | 
					
| [64] | 
							 | 
					
| [65] | 
							 | 
					
| [66] | 
							 | 
					
| [67] | 
							 | 
					
| [68] | 
							 | 
					
| [69] | 
							 | 
					
| [70] | 
							 | 
					

				