作者简介:
作者简介:刘铭钰,1995年生,女,河北省邢台市人,在读硕士研究生,研究方向为工业催化。
有机碳酸酯是一类重要的化工原料,常被用在药物合成、绿色添加剂、锂电池电解液以及合成聚碳酸酯等领域,碳酸酯的合成是实现CO2碳资源化最有效的途径之一。固载化离子液体兼具均相催化剂的高活性和固相催化剂易于分离和回收等特点,在碳酸酯合成反应中具有广阔的工业应用前景。综述用于合成碳酸酯的固载化离子液体催化剂固载技术研究进展,总结离子液体的固载方法:物理吸附、配位键合、成酯键合、硅烷偶联键合、碳氮键合以及双键或官能团自聚合;重点评述和比较众多固载方法中离子液体与载体作用方式的本质以及其在碳酸酯合成反应中的催化性能和优缺点,突出键合法合成固载化离子液体催化剂在催化合成碳酸酯领域的优势。并对现阶段用于催化合成碳酸酯的固载化离子液体催化剂存在的问题进行总结,指出固载化离子液体亟待解决的技术难题以及今后的发展方向。
Organic carbonates are a series of important chemical raw materials,which are usually applied as the solvent for chemical reactions or used in drug synthesis,green additives,lithium battery electrolyte and functional polycarbonates synthesis.It is the most effective way to realize CO2utilization as resources.Immobilized ionic liquids exhibited broad prospect in industrial applications because of their advantages of high activity like homogeneous catalysts and easy separation/recovery as heterogeneous catalysts during the synthesis of carbonates.This paper systematically reviewed the research progresses on immobilization technologies for immobilized ionic liquids used in catalytic synthesis of carbonates and summarizes the immobilization technologies:physical absorption,coordination bonding,ester bonding,silane-coupling bonding,carbon-nitrogen bonding,and unsaturated or functional self-polymerization.In addition,special emphasis and comparison have been paid to the interaction essence between ionic liquids and carriers of different immobilization methods,as well as their catalytic performance,advantages and disadvantages in the synthesis of carbonates.The immobilized ionic liquid synthesized by the bonding method is more suitable for the carbonates synthesis.Finally,the current technical limitations and further researches of immobilized ionic liquids for carbonate synthesis are proposed.
碳酸酯是一系列多功能性、多用途和低毒甚至无毒的化学品, 常用碳酸酯类产品包括碳酸丙烯酯(PC)、碳酸乙烯酯(EC)、碳酸二甲酯(DMC)、碳酸甲乙酯(EMC)、碳酸二乙酯(DEC)、碳酸甘油酯、碳酸二苯酯、聚碳酸酯(工程塑料)以及聚碳酸酯二元醇(PCDL)等。如图1所示, 其中PC和EC是碳酸酯类产品的源头, 由石油化工平台产品环氧丙烷或环氧乙烷加成CO2生成。PC或EC与煤化工平台化合物甲醇(MeOH)通过酯交换反应生成DMC和对应的二元醇[1, 2]。DMC和多种醇生成多种功能化的对称或非对称结构碳酸酯, 是一类沸点适中、黏度低、低温性能好、溶解能力强等高附加值的精细化学品[2], 多用作化工绿色溶剂、锂电池电解液[3, 4]以及化妆品保湿剂等。碳酸二苯酯由DMC和苯酚酯交换生成, 是聚碳酸酯的单体, 聚碳酸酯是五大工程塑料之一, 具有高透明性、高强度及高弹性系数等优点。PCDL是生产新一代聚碳酸酯型聚氨酯的重要原料, 该聚氨酯具有优良的力学性能、耐水解性、耐热性及耐磨性, 并具有优良的微生物降解性, 是一类环境友好的材料。碳酸酯类产品以石油化工下游原料环氧丙烷或环氧乙烷为媒介, 含碳的能源终端产品CO2以及煤化工或天然气化工的平台化合物MeOH为反应物, DMC为中转, 生成具有多功能性的精细化学品及大宗化工材料, 也是实现CO2碳资源化和化工利用的最有效途径之一。因此, 催化促进碳酸酯的定向高效合成具有重要的现实意义。
用于催化碳酸酯交换反应的均相强碱性催化剂包括KOH、NaOH、CH3ONa、CH3CH2ONa等可溶性强碱[5, 6], 短期催化活性高, 但遇水敏感, 参与反应后极易失活, 易产生强碱性固废, 且不易与反应体系分离; 钛酸盐如钛酸四丁酯可溶盐类催化剂也存在参与反应和失活现象; 碳酸盐如Na2CO3或K2CO3盐类催化剂活性相对较低且溶解性差[7, 8]; MgO、MgO-Al2O3等金属或复合金属氧化物[9, 10]以及碱性分子筛[11]催化剂催化活性普遍偏低、反应温度高、醚类副产物含量较高; 离子交换树脂催化剂[12]容易因离子交换而发生活性组分流失现象, 稳定性较差。
离子液体具有蒸气压低、热稳定性好且绿色环保[13, 14, 15]等特点, 已经广泛应用于催化碳酸酯交换反应中。因其丰富的活性中心和受体系水含量影响较小的特点, 有望成为传统可溶强碱催化剂的替代品。但离子液体作为均相催化剂仍然存在不易与反应体系分离和反应初期分散性差等缺点。因此, 研究者将高活性的离子液体通过物理吸附或化学键合的方式将活性中心与载体结合, 既保留载体高比表面积的特性, 提高了活性组分的分散性, 又发挥了均相离子液体高活性的优点, 减小离子液体用量, 解决了难分离的问题, 是未来催化剂最具潜力的研究方向。
近年来, 固载化离子液体用于碳酸酯合成反应的报道较多, 所涉及的离子液体固载技术以及离子液体活性组分与载体的作用方式种类不一。本文系统整理并综述近10年来国内外文献报道的不同方法固载的离子液体应用于碳酸酯合成反应的研究进展, 着重对比剖析不同离子液体活性组分与载体间固载方式的实质, 阐述各种作用方式的优缺点, 并指出目前固载化离子液体亟待突破的技术难题以及未来固载化离子液体用于碳酸酯合成的工业化前景和所面临的挑战。
通过物理吸附或静电吸附作用将离子液体活性组分与载体材料进行结合是较为简便的固载方式, 如浸渍法、均相或静电沉积法等, 涉及的离子液体包括季铵类、季膦类以及咪唑类等。载体一般为比表面积大、吸附性强的多孔材料, 如合成硅胶[16]、活性炭[17]或分子筛[16, 17, 18]等。
Wang J Q等[19]将季铵盐离子液体溶解于甲醇溶剂, 然后浸渍到介孔SiO2载体孔道中, 在100 ℃蒸发15 h除去溶剂得到SiO2负载的四正丁基溴化铵离子液体Bu4NBr/SiO2。Bu4NBr通过物理吸附作用在SiO2孔道中形成离子液体层。在CO2超临界条件下, 催化环氧丙烷(PO)发生环加成反应, 展现出较高的PC收率和选择性, 但催化剂在循环使用过程中由于活性中心的不断流失导致活性逐渐下降。
Zhang B等[18]将羟基功能化的咪唑类聚合物离子液体(PIL)、4A型分子筛以及双蒸水的混合物在30 ℃连续搅拌24 h。将蒸去多余水分后的固体混合物于80 ℃真空干燥12 h, 得到分子筛固载咪唑型聚合物离子液体多孔材料。该催化剂对环氧乙烷(EO)和CO2加成反应具有良好的催化活性, 展现出较高的碳酸乙烯酯(EC)选择性和收率。但因PIL与分子筛间作用力较弱, 循环使用3次后活性逐渐开始下降。
刘春艳等[20]将N-甲基甘氨酸、咪唑-4-甲醛和有序介孔碳CMK-3置于甲苯溶剂中, 110 ℃油浴搅拌下反应38 h, 用甲醇洗涤并过滤后将样品在70 ℃真空干燥12 h, 再与不同溴代化合物(如BrCH2CH2OH、BrCH2CH2COOH或BrCH2CH3等)发生季铵化反应得到有序介孔碳CMK-3负载咪唑类离子液体(图2), 催化PO与CO2环加成反应结果显示, 羟基官能化的负载型离子液体PC选择性可达99%。相关表征结果表明, 负载后样品的比表面积、孔体积及孔径均有所下降, 较负载前的CMK-3孔有序性下降, 表明吸附的离子液体导致孔壁增厚, 孔隙变小。此外, 因反应物和产物流经孔道时反复冲刷活性位点, 导致活性组分脱落从而降低催化活性。
Lee K H等[21]将具有三维结构的介孔硅泡沫材料(MCF)干燥后与1, 4-重[2.2.2]辛烷(DABCO)和甲苯溶剂混合并在室温下搅拌20 h, 然后将混合物过滤并于60 ℃干燥12 h后获得固载化离子液体DABCO/MCF, 并将其应用于EC和MeOH酯交换制备碳酸二甲酯(DMC)反应中。由于离子液体与载体间通过物理吸附作用结合成多层离子液体层, 初始催化活性较高, 但循环使用4次后由于离子液体逐渐脱落, DMC收率由初始的80%降至22%。
此类固载化离子液体活性组分通过物理吸附或静电吸附作用与载体结合, 制备过程较为简便, 且有效解决了均相催化剂难回收的问题。但活性离子液体与载体作用力较弱, 必然存在因离子液体在连续反应过程中逐渐脱落, 而导致产物纯度降低, 催化剂稳定性和重复使用性差。
为突破传统物理浸渍法的局限性, 研究者提出键合法, 即离子液体与载体之间通过成键方式实现活性组分在载体上的固载。目前, 化学键合法根据成键种类或方式分为配位键合、成酯键合、硅烷偶联键合、聚合物碳氮键合以及双键或官能团自聚合。
1.2.1 配位键合
Wang T T等[22]将亚硝基改性的MOFs材料MIL-101-NO2与1-羧乙基-3-甲基咪唑氯化物离子液体在无水乙醇中进行反应, 通过其间生成的Cl-Cr配位键实现离子液体与有机金属骨架的连接。之后将亚硝基氨化后的固载型离子液体催化剂应用到CO2和PO环加成反应中, 在反应温度120 ℃、反应压力1.3 MPa、催化剂物质的量分数为0.435%条件下, 反应1 h后PC收率达91%, 循环使用5次未见明显失活, 表现出良好的催化活性和稳定性。
Guo L Y等[23]将具有不同侧链的咪唑型Lewis复合离子液体与MCM-22分子筛进行取代反应, 在脱去HCl或HBr后得到分子筛固载的咪唑型复合离子液体催化剂, 见图3。该催化剂用于催化CO2与PO的反应中, 在反应温度120 ℃、反应压力2.5 MPa、催化剂物质的量分数为2%条件下, 反应2 h后PC收率达97.4%。研究认为, 将离子液体固定在MCM-22分子筛上可以减少活性官能团之间的相互作用, 避免副产物的生成, 提高产物选择性。但是催化剂循环使用4次后活性开始下降, 元素分析表明由于离子液体的流失导致。
离子液体活性中心通过配位键与载体连接, 无法保持长久的催化稳定性, 原因是反应体系中存在多种碳酸酯类化合物以及少量甲氧/乙氧基负离子, 可以亲核进攻酯类的羰基C, 之后发生加成-消去反应, 甲氧/乙氧基取代了离子液体的活性中心, 导致活性离子液体随着反应的进行而流失。
1.2.2 成酯键合
Baj S等[24]利用体积比为1∶ 3的HNO3-H2SO4混合物将碳纳米管CNT氧化, 与过量的亚硫酰氯混合, 并在室温下搅拌过夜。减压除去过量的SOCl2后得到活性氧化碳纳米管产品。酰氯改性的氧化碳纳米管与羟基功能化的季铵盐, 通过取代反应实现了季铵盐离子液体在碳纳米管上的酯化接枝, 见图4所示。合成的固载型离子液体催化剂在CO2与PO反应生成环状碳酸酯的反应中催化效果显著, 循环使用5次活性未见明显下降。
Choi H J等[25]通过咪唑盐与PEG-琥珀酸作用, 将离子液体成功接枝到用4-(二甲氨基)吡啶(DMAP)改性的聚乙二醇(PEG)上, 通过与羟基官能化的咪唑离子液体形成酯键, 制备出不同阴离子和不同长度烷基链的负载型离子液体[PEGRIm][X](R=Me、Et、Bu, X=Cl、Br、I), 见图5。
将其应用于CO2和烯丙基缩水甘油醚(AGE)反应, 制备烯丙基缩水甘油碳酸酯(ACG), 结果显示, 较短的烷基链结构因较低的空间位阻显示出更好的催化活性, AGC转化率达90%。作者还研究了PEG1500、PEG4000和PEG6000对离子液体负载量以及催化性能的影响, 发现PEG1500具有较高的离子液体负载量, 随着PEG分子量从1 500增加到6 000, AGC转化率逐渐降低, 这主要是由于PEG6000黏度较高, 不利于酯键形成。
1.2.3 硅烷偶联键合
将活性组分通过硅烷偶联作用负载到载体上是常见的离子液体固载方式。一般利用硅烷偶联剂将离子液体进行修饰, 形成具有硅烷基侧链的功能化离子液体, 再与硅胶、SiO2或分子筛等载体表面反应生成Si-O-Si或Si-O-C键, 从而将离子液体固定, 见图6步骤①; 也可以通过将表面具有羟基的载体进行硅烷修饰, 硅烷偶联剂与羟基缩合形成表面具有Si-O-Si或Si-O-C结构的载体, 偶联剂另一端与离子液体之间生成共价键达到固载目的, 见图6步骤②。
Aitor S M等[26]将载体SiO2-60、1-(3-三甲氧基硅丙基)-3-甲基咪唑氯化物或1-(3-三甲氧基硅丙基)-3-甲基咪唑溴化铵、无水氯仿以及1, 4-二氧六环的混合物在90 ℃搅拌回流48 h。经过滤、洗涤等程序后获得SiO2负载的1-甲基-3-丙基咪唑氯(或溴)化物。这两种催化剂对超临界CO2与PO反应连续生产PC反应的催化活性一般, 但是由于离子液体与载体间通过共价锚定结合, 连续运行48 h后PC收率约38%, 长期稳定性较好。
Tan J等[27]利用硅烷偶联剂1, 2-双(三乙氧基甲硅烷基)乙烷将硅基载体进行修饰得到周期性介孔有机硅纳米材料(PMO), 与双(三氟甲基硫代磺酰基)酰亚胺阴离子型双咪唑离子液体反应制备固载化PMO@IL-NTf2。由于咪唑侧链与被修饰的载体间形成牢固的Si-C共价键, 在CO2和PO反应制备环状碳酸酯PC的反应中表现出良好的催化活性和稳定性, 可循环使用6次以上。
Cheng W G等[28]合成了系列不同官能化的1, 2, 4-三唑卤化物离子液体(TRILs), 并接枝到具有特殊孔结构且表面具有丰富羟基的SBA-15分子筛上, 其用于催化CO2和PO环加成合成PC的活性顺序为I-> Br-> Cl-。由于离子液体与载体间通过硅烷偶联作用连接, 催化剂稳定性大大增加, 重复使用6次未见失活。
Sayed S M[29]利用3-氯丙基三乙氧基硅烷修饰纳米纤维SiO2(KCC-1)载体, 与1-甲基咪唑反应生成KCC-1/MIm, 再与H3PW12O40离子交换得到固载化离子液体KCC-1/IL/HPW, 并将其应用于环状碳酸酯合成反应中, PC收率达98%。循环使用10次后活性仅下降3.6%, 表明KCC-1/IL/HPW具有良好的稳定性, 主要归因于离子液体的阳离子与载体表面硅烷的桥联作用, 离子液体相当于稳定的锚, 避免了杂多酸的浸出和流失。
Kim D W等[30]在强酸性条件下将功能化的1-(三乙氧基硅丙基)-3-正丁基咪唑溴盐与正硅酸乙酯(TEOS)偶联缩合, 制备具有稳定结构的介孔SiO2材料负载的1-丁基-3-甲基咪唑溴离子液体BMImBr-AS, 在催化EC和MeOH酯交换反应制备DMC中表现出良好的催化活性。通过红外光谱和固态29Si MAS NMR等表征, 证明了催化剂表面Si-O-Si键的生成, 说明TEOS水解后形成的多孔二氧化硅表面通过偶联作用与有机官能团连接。
Ying T等[31]利用甲基丙烯酸二甲氨基乙酯(DEMA)和溴化乙醇合成新型离子液体(DEMA-EtOH)Br, 同时将SiO2载体用甲基丙烯酸3-(三甲氧基硅烷基)丙酯(MPS)修饰。之后将离子液体(DEMA-EtOH)Br修饰后的载体MPS@SiO2及偶氮二异丁腈(AIBN)的混合物在氮气气氛于65 ℃反应24 h, 通过洗涤、过滤、真空干燥等流程, 获得SiO2负载的聚离子液体PIL@SiO2。离子液体聚合物对SiO2的改性, 使载体表面形成交叉聚合物而更加稳定, 显著改善了MPS与SiO2之间Si-O键较弱易断裂的问题, 很大程度提高了固载化离子液体的稳定性。其中, 负载质量分数为50%的催化剂PIL@SiO2在CO2与PO反应合成PC的过程中表现出超过90%的PC收率, 且重复使用5次后, 活性没有下降趋势。
氧化石墨烯(GO)是一类具有丰富羟基和羧基等含氧官能团的新型碳素材料, 具有结构简单、比表面积大、热稳定性和化学稳定性好、表面易修饰等特点。Zhang W H等[32]将含有氨丙基的羟基咪唑型碱性离子液体通过生成Si-O共价键固定在硅烷功能化的GO上, 然后进行阴离子交换反应制备GO-[Ap-im]OH。在催化EC和MeOH的酯交换反应中, EC转化率和DMC选择性分别达94.5%和99.9%, 催化剂重复使用6次后活性无明显下降。同年, 该课题组同样利用硅烷偶联的方法[33]将另一羟基咪唑型碱性离子液体[bSIm]OH共价接枝到磁性氧化石墨烯上, 制备出负载型离子液体Fe3O4/GO-[bSIm]OH, 见图7。其在催化EC和MeOH的酯交换反应中仍然表现出较高的催化活性, 且催化剂循环使用5次以上无明显失活现象。
利用硅烷偶联作用将离子液体与载体结合起来是实验室常用的键合手段, 由于Si-O共价键的存在, 固载后的离子液体不易流失, 可延长催化剂的使用寿命。但是此法操作步骤繁琐, 硅基材料大多不适用于强酸碱环境, 且常用的硅烷偶联剂一般为价格昂贵的氯丙基三甲(乙)氧基硅烷类试剂, 成本较高。在大量投入使用前, 需要考虑到上述问题。
1.2.4 聚合物碳氮键合
聚合物载体与含氮离子液体通过形成碳氮键实现固载也是一种常见的离子液体固载方法, 其固载过程操作简单、成本较低, 为催化连续性工业化生产提供了可能。常用的聚合物载体包括聚苯乙烯树脂(PS)[34]、聚二乙烯苯(PDVB)[35]及壳聚糖等。
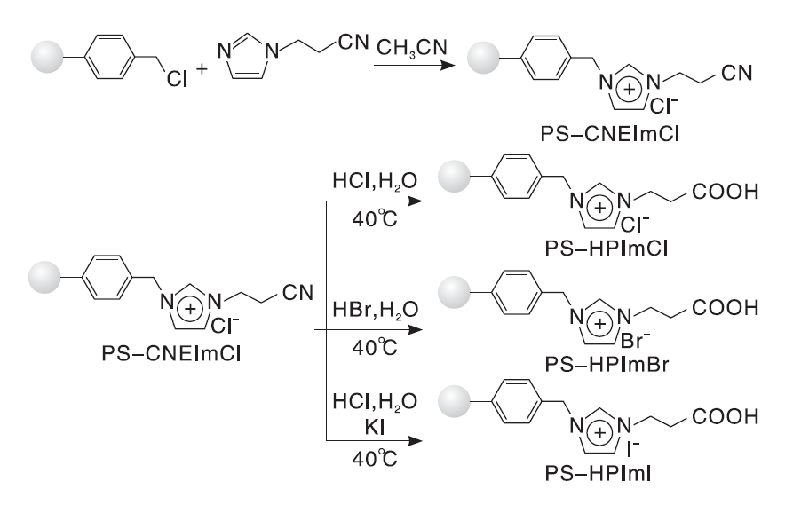
树脂材料具有较高的化学稳定性, 吕东伟等[36]将氯甲基化聚苯乙烯树脂(PS-Cl)、1-腈乙基咪唑和乙腈混合回流24 h后得到固载化离子液体PS-CNEImCl, 再分别与盐酸(HCl)、氢溴酸(HBr)和碘化钾(KI)反应制备出一系列PS负载的离子液体PS-HPImCl、PS-HPImBr和PS-HPImI, 见图8。筛选出催化活性较高的PS-HBImBr催化剂应用于CO2与PO的环加成反应, 由于PS中的C与咪唑上的N生成C-N共价键, 重复使用5次后, PC收率仅下降1.5%, 具有较好的稳定性。
Zhang Xu等[37]将高度交联的PS-Cl和咪唑在甲苯溶剂中回流反应一夜, 过滤的固体真空60 ℃干燥12 h得到聚苯乙烯固定化咪唑(PS-Im)。然后, 将PS-Im与过量盐酸室温反应12 h得到固载化盐酸咪唑离子液体PS-ImHCl。并采用相同的方法合成固载化氢溴酸咪唑盐(PS-ImHBr)、固载化氢碘化咪唑盐(PS-ImHI)和固载化咪唑四氟硼酸盐(PS-ImHBF4)。在催化环氧化合物与CO2的反应中, PS-ImHI表现出良好的催化活性, 循环使用10次后, 活性没有明显下降, 且在高压固定床连续反应器中进行的催化反应超过120 h, 表现出较好的稳定性。
Wang J Q等[38]通过将筛选出具有较高EC与MeOH酯交换催化活性的羧基功能化咪唑盐离子液体(DMIC), 与PS、乙腈在120 ℃搅拌反应24 h, DMIC上的N与载体中苯环上甲基的C生成C-N键, 共价锚定在高度交联的PS上, 制得固载化离子液体PS-DMIC, 在固定床反应器中连续反应200 h, 没有明显的活性损失, 具有潜在的工业应用前景。
Yan X M等[39]通过碳氮键合作用制备一系列PS固载季铵盐型离子液体催化剂, 将其应用到CO2与PC环加成反应中, 筛选出最优催化性能的固载化离子液体1-氨基-2-羟基-3-三甲基氯化铵[AHTAPC-PS]Br, PC收率达98.5%, 因离子液体与载体材料间存在牢固的C-N键, 催化剂循环使用10次后, PC收率仍然高于96%。
Zhang Y Y等[35]选择PDVB作为载体, 将1-三氯乙烷、3-溴丙酸和PDVB-IM的混合物回流24 h, 过滤后用1, 1, 1-三氯乙烷洗涤, 60 ℃真空干燥4 h, 得到PDVB负载的羧酸官能咪唑类离子液体催化剂PDVB-CEIMBr, 见图9。此方法利用载体PDVB侧链上的C与咪唑上的N成键, 而后将已固载的离子液体羧酸官能化, 利用CO2和PO加成反应考察了催化剂的催化性能, 发现PC收率和选择性分别达96.1%和99.8%, 循环使用5次活性未见明显下降, 认为PDVB-CEIMBr中的-COOH、Br-与载体的协同作用有利于反应的进行。
利用离子液体与聚合物载体间生成C-N键的方式进行固载, 操作简单, 成本低, 可重复使用且稳定性好, 但也存在活性偏低的问题, 且溶剂为水时, 聚苯乙烯会出现溶胀现象。针对此现象, 应从多方面分析催化剂失活的原因并解决此类问题, 从工业应用角度看, 聚合物负载离子液体具有很大的吸引力和应用潜力。
1.2.5 双键或官能团自聚合
含有双键的离子液体可以通过自聚合或在离子液体分子中引入可以发生聚合反应的官能团, 再与另一单体进行共聚, 制备含有多孔结构的离子液体型聚合物(PILs)。
Dai W L等[40]制备了一系列羟基、羧基、氨基等官能化的乙烯基咪唑离子液体, 通过自由基聚合负载到交联的PDVB上, 见图10。其主要步骤是将二乙烯基苯(DVB)和偶氮二异丁腈(AIBN)添加到含有不同官能化的离子液体中, 并于氮气中回流48 h, 过滤, 洗涤, 真空干燥, 得到PDVB负载的离子液体催化剂。实验结果表明, 与其他催化剂相比, 由于羟基官能化的催化剂PDVB-HEImBr中羟基氢键和Br-的协同作用, PC收率和选择性高达97.1%和99.6%。离子液体HEImBr侧链上的双键和DVB的乙烯基通过共聚作用实现了活性组分和载体的结合, 催化剂重复使用6次, 催化活性不会显著降低。
Alessandro D等[41]则是先将1-乙烯基咪唑与DVB在AIBN引发下, 利用沉淀聚合法制备咪唑化的聚二乙烯基苯聚合物PDVB-IM, 即非离子共聚物, 通过烷基化步骤合成聚咪唑型离子液体, 再进行离子交换引入B
Saeidehs G E等[43]以苯乙烯官能化咪唑盐为阳离子, 氯离子、六氟磷酸盐或叔氟硼酸盐为阴离子, 合成4种不同类型的咪唑离子液体前驱体, 利用AIBN的引发作用制备一系列交联离子聚合物, 见图12。其中活性最高的D型聚合物在催化PO与CO2反应中表现出良好的催化性能, 环氧氯丙烷转化率高达98%, 循环使用10次以上无明显失活现象。
| 图12 用于制备聚合物离子液体的咪唑盐前驱体[43]Figure 12 Imidazole salt precursors used to prepare polymer ionic liquids[43] |
张锁江课题组[44]利用1-乙烯基咪唑与不同官能团的溴化物反应, 制备一系列官能化咪唑溴化盐离子液体, 再分别通过引入AIBN进行单体自由基聚合制备聚离子液体a, 与DVB共聚制备交联离子液体聚合物b, 见图13。分别应用于CO2和PO反应中, 筛选出催化活性最高的-COOH官能化的共聚离子液体b3, PC收率高达95%。循环使用5次后, PC收率仍高于95%。而自聚离子液体由于活性位点密度过高从而催化活性低于交联产物[45]。
| 图13 羟基官能化的聚咪唑离子液体合成过程[44]Figure 13 Synthesis process of hydroxyl functionalizedpolyimidazole ionic liquid[44] |
Buaki S等[46]用含有乙烯基的双咪唑离子液体对单壁碳纳米管(SWCNTs)进行功能化, 通过简单的一锅法将离子液体部分自组装, 然后自由基引发双键聚合, 得到具有大量孔道的网状固体型离子液体, 在催化CO2和环氧氯丙烷反应中表现出良好的催化活性。这种类型的PILs合成简单, 催化性能好, 在应用于制备环状碳酸酯反应中, 阴离子通过诱导环氧化物开环促进亲核攻击, 阳离子通过氢键形成稳定的中间体。因此, 很有可能在CO2与环氧化物等加成反应中得到进一步的开发和应用。
丁云杰课题组[47]采用溶剂热合成法制备一系列季铵盐离子液体, 并与三苯基膦(PPh3)一体化合成有机多孔聚合物(POPs), 首先乙烯基官能化PPh3和乙烯基官能化离子液体进行自由基聚合得到PPh3-ILX@POPs(X=Cl、Br、I)。以PPh3-ILBr@POPs为例, 利用浸渍法将ZnX2与聚合物中的P配位, 得到PPh3-ILBr-ZnX2@POPs(X=Cl、Br、I), 见图14。
| 图14 季膦盐离子液体与金属磷一体化有机多孔聚合物的合成过程[47]Figure 14 Synthesis process of quaternaryphosphonium salt ionic liquid and metal phosphorus integrated organic porous polymer[47] |
在应用到CO2和PO加成反应中, TOF值达到3 520 h-1, 循环使用5次后, PC收率仅下降了5%。由于PPh3的作用, ZnBr2在POPs柔性骨架的微孔环境中可以稳定存在。由于离子液体和Zn-PPh3的协同作用, 以一种双活化的方式提高了催化剂的催化效率。此外, PPh3-ILBr-ZnBr2@POPs具有优异的CO2富集能力, 结合POPs材料可以在纳米孔中隔离反应底物, 提高其在催化位点周围的浓度[48], 使催化剂的催化性能达到最优。
多孔有机聚合物具有较大的比表面积和丰富可调控的孔道结构, 可以通过化学调控使聚合物中含有不同的官能团, 且骨架结构稳定, 能够适用于更广泛的反应环境, 易于分离回收, 所以, 合成离子液体有机多孔聚合物成为近年来固载离子液体的研究热点。
随着绿色化学理念的大力提倡, 固载化离子液体因兼具均相催化效率高和非均相催化易分离的优点, 在催化系列碳酸酯合成领域研究广泛。固载化离子液体的催化性能不仅受离子液体自身性质的影响, 还与固载方式以及载体的性质关系密切。不同固载方式的分类及优缺点详见表1。
| 表1 不同固载方式的分类及优缺点 Table 1 Classification of different immobilized methods and summary of their merits and demerits |
物理吸附固载是离子液体与载体材料通过范德华力或者静电引力结合到一起, 最常见的制备方法为浸渍法和沉积法, 合成流程简单易行。但载体种类、结构和性质对离子液体固载效率以及催化效率影响较大, 且固载后的活性中心与载体间作用力较弱。在催化碳酸酯合成过程中, 普遍出现离子液体流失现象, 致使活性组分含量逐渐减少, 导致催化性能降低。
化学键合法即通过形成化学键的方式将离子液体与载体材料结合或使其同步聚合, 很大程度上解决了因活性组分流失而导致的催化性能降低的问题。根据键合过程中载体种类以及成键种类或方式的不同, 常见的化学键合固载方式可分为配位键合、成酯键合、硅烷偶联键合、聚合物碳氮键合以及双键或官能团自聚合等。
配位键合与成酯键合是通过离子液体阳离子携体与载体材料通过某种化学反应生成新键, 如酯键、配位键等形式直接结合。此类键合固载方法操作简便, 但其催化性能的多样性容易受到载体材料种类以及接枝反应成键类型的限制, 大部分离子液体或载体材料在接枝反应之前需经过官能团修饰。
硅烷偶联键合是将烷氧基硅烷作为偶联剂, 对阳离子携体和硅材料载体进行衔接, 通常在离子液体与载体之间生成Si-O-Si或Si-O-C键实现固载。因现有硅材料载体种类繁多, 且结构和性质基本可控, 受到研究者的青睐。但工业应用时, 反应体系的酸碱度要求苛刻, 操作步骤繁琐且偶联剂价格昂贵等。
高分子聚合物材料近年来也被研究者用作固载化离子液体催化剂的载体材料, 例如PS是常用的聚合物载体。聚合物碳氮键合是通过将离子液体阳离子携体与高分子材料表面的烷基发生化学反应生成C-N键, 继而实现离子液体在载体材料表面的固载。该合成方法成本低、稳定性强, 可根据反应需求选择具有相应化学性质的高分子材料种类作为载体。需要注意的是, 该合成方法的离子液体固载量及催化性能分别受载体种类及反应体系溶剂种类的影响较大, 在催化反应过程中会发生典型溶胀现象[49]。
含双键或官能团自聚合固载是离子液体通过自身的双键或与引入官能团的单体交联聚合, 形成有机多孔聚合物。该方法操作简单, 具有丰富且稳定的孔道和骨架结构, 能够适应较广泛的实验条件[50], 且因聚合单体的多样性, 合成催化材料结构可控, 可适用于不同反应体系。
由于载体固有特性以及键合方式的不同, 以上几种固载方式都有其适用性和局限性。在催化碳酸酯合成过程中, 应根据自身反应类型及特点选择恰当的离子液体及其固载方式, 设计出活性组分和载体协同作用最大化、稳定性强及易分离的固载型离子液体非均相高效催化剂, 充分发挥固载型离子液体催化剂在催化系列碳酸酯合成领域的优势。
碳酸酯/聚碳酸酯是一系列多功能性、多用途和低毒甚至无毒的化工材料, 合成碳酸酯类产品是实现CO2碳资源化和化工利用的最有效途径之一。固载化离子液体催化剂克服了均相催化剂用量大, 分离难的问题, 常用的固载技术包括离子液体物理吸附和化学键合。物理吸附法合成的固载化催化剂活性组分易流失, 化学键合法固载离子液体催化剂因新键的形成, 较物理吸附法在稳定性上有一定程度提升, 但仍然面临离子液体因化学键较弱易断裂或操作复杂等问题。此外, 目前有限的化学键合方法所涉及的载体材料对反应选择性较高, 反应条件要求较为苛刻。载体物化性质与离子液体作用机制以及用于碳酸酯合成的固载型离子液体催化剂的失活机制理论欠缺, 固载化离子液体催化剂在工业应用中的实例较少。
建议今后对如下方向进行突破:(1)开发新型耐强酸、强碱及耐高温的可应用于离子液体键合的载体; (2)开发阴离子固载技术, 解决离子液体因阳离子固载导致阴离子活性组分易丢失问题; (3)随着对固载化离子液体研究的深入, 找出催化剂失活的原因并对失活机理进行分析总结, 并指导实际应用; (4)完善构效关系, 明确离子液体与载体作用方式及协同作用机制。
| [1] |
|
| [2] |
|
| [3] |
|
| [4] |
|
| [5] |
|
| [6] |
|
| [7] |
|
| [8] |
|
| [9] |
|
| [10] |
|
| [11] |
|
| [12] |
|
| [13] |
|
| [14] |
|
| [15] |
|
| [16] |
|
| [17] |
|
| [18] |
|
| [19] |
|
| [20] |
|
| [21] |
|
| [22] |
|
| [23] |
|
| [24] |
|
| [25] |
|
| [26] |
|
| [27] |
|
| [28] |
|
| [29] |
|
| [30] |
|
| [31] |
|
| [32] |
|
| [33] |
|
| [34] |
|
| [35] |
|
| [36] |
|
| [37] |
|
| [38] |
|
| [39] |
|
| [40] |
|
| [41] |
|
| [42] |
|
| [43] |
|
| [44] |
|
| [45] |
|
| [46] |
|
| [47] |
|
| [48] |
|
| [49] |
|
| [50] |
|

